Magna Concursos
2841609 Ano: 2022
Disciplina: Engenharia Florestal
Banca: FGV
Orgão: POLITEC-AP

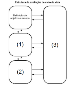
A figura a seguir apresenta a interligação entre as fases de uma avaliação de ciclo de vida (ACV), de acordo com a ISO 14040:2009

Enunciado 3553182-1

As fases indicadas por (1), (2) e (3) na figura correspondem, respectivamente, a

 

Provas

Questão presente nas seguintes provas

Técnico Pericial - Gestão Ambiental

60 Questões