Acerca dos sensores, dispositivos que respondem a um estímulo
físico/químico de maneira específica e produzem um efeito
mensurável analogicamente na forma de um sinal elétrico ou ótico,
julgue os itens de 72 a 74.
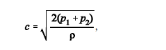
O tubo de Pitot, muito usado para a medição da velocidade dos aviões no ar, tem como princípio básico de funcionamento o fato de que a velocidade do escoamento é função da soma das pressões estática e total no escoamento. Medindo-se os dois valores de pressão e somando-os, pode-se calcular a velocidade do escoamento por meio da equação

em que p1 = pressão total, p2 = pressão estática e ρ = massa específica do fluido.
Provas
Questão presente nas seguintes provas