Magna Concursos
2003703 Ano: 2020
Disciplina: Matemática
Banca: GUALIMP
Orgão: Pref. Conceição Macabu-RJ
Provas:

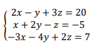
Considere o sistema de equações abaixo.

enunciado 204623-1

A soma das soluções desse sistema é:

 

Provas

Questão presente nas seguintes provas

Professor - Matemática

40 Questões