A ingestão de frutos do mar pode causar uma grande variedade de sintomas, dependendo do tipo de toxina presente, de sua concentração e da quantidade do produto consumido. No caso da PSP (Paralytic Shellfish Poisonig) ou intoxicação paralisante por marisco, os efeitos predominantes são neurológicos e consistem de formigamento/dormência de face, braços e pernas, queimação, torpor, sonolência, fala incoerente, ausência de coordenação muscular, sensação de flutuação e paralisia respiratória. A morte pode ocorrer em um período de 2 a 25 horas.
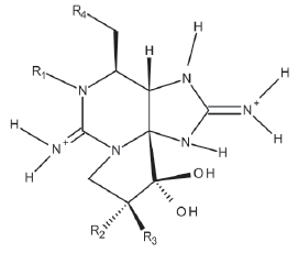
A figura apresenta a estrutura das saxitoxinas ou PSP, onde os substituintes R1, R2 e R3 e R4 podem variar.

Os responsáveis pela síntese dessas substâncias denominadas saxitoxinas são as(os)