Magna Concursos
2888830 Ano: 2023
Disciplina: Física
Banca: FUNDATEC
Orgão: IFFar

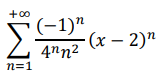
O raio e o intervalo de convergência da série de potências são, respectivamente, iguais a:

Enunciado 3166614-1

 

Provas

Questão presente nas seguintes provas

Professor PEBTT - Matemática

40 Questões