2065667
Ano: 2022
Disciplina: TI - Desenvolvimento de Sistemas
Banca: CESPE / CEBRASPE
Orgão: Petrobrás
Disciplina: TI - Desenvolvimento de Sistemas
Banca: CESPE / CEBRASPE
Orgão: Petrobrás
Acerca dos Algoritmos e Estrutura de Dados, julgue o item seguinte.
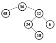
Considerando a árvore binária da figura abaixo, o resultado das consultas dos nós dessa árvore a em pré- ordem é: 18, 24, 6, 12, 48, 36.

Provas
Questão presente nas seguintes provas
Engenheiro de Equipamentos - Terminais e Dutos
120 Questões