Magna Concursos
2635059 Ano: 2002
Disciplina: Matemática
Banca: FUNDEC
Orgão: TJ-MG
Provas:

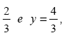
Se x = Enunciado 2958270-1

então x + y é igual a:

 

Provas

Questão presente nas seguintes provas

Agente Judiciário

40 Questões