Magna Concursos
3208509 Ano: 2024
Disciplina: Matemática
Banca: COTEC
Orgão: Pref. Virgem Lapa-MG

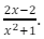
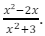
Simplificando a expressão, Enunciado 3512780-1 , obtém-se

 

Provas

Questão presente nas seguintes provas

Operador de Máquinas Pesadas

30 Questões