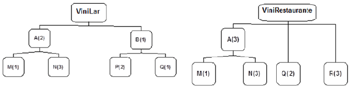
Os produtos ViniLar e ViniRestaurante são produzidos e comercializados pela empresa QueVini Ltda. As estruturas analíticas dos dois produtos estão representadas pela figura a seguir:

A QueVini acaba de receber uma encomenda de 2800 unidades de ViniLar e 1950 de ViniRestaurante. A tabela e as observações a seguir contemplam as demais informações necessárias para os cálculos.
| Item |
Estoque Atual |
Estoque Mínimo |
Atendimento Semanal |
Quantidade Requerida QR = D - EA + EM |
Prazo Requerido PR = QR/AS |
Início = Fim - PR |
Fim |
| Vinilar | 700 | 300 | 400 | ||||
| ViniRestaurante | 500 | 150 | 800 | ||||
| A | 800 | 800 | 1200 | ||||
| B | 700 | 300 | 500 | ||||
| M | 1300 | 1000 | 1500 | ||||
| N | 900 | 3100 | 1000 | ||||
| P | 1000 | 600 | 600 | ||||
| Q | 800 | 1100 | 500 | ||||
| R | 600 | 500 | 1000 |
- Na coluna “Atendimento Semanal” está informada a quantidade produzida por semana do respectivo item.
- Um dos insumos precisa ser comprado AGORA, no instante ZERO.
- A produção de um item só inicia quando o estoque de seus insumos estiver totalmente completo. Exemplo: a produção de A só começa depois que os fornecedores dos insumos M e N entregarem completamente os respectivos pedidos, mesmo existindo Estoque Mínimo.
- A produção de ViniLar e ViniRestaurante ocorrem simultaneamente por usarem equipamentos distintos. Porém somente iniciam após a completa entrega do insumo A para atender a ambos, ou seja, começam na mesma data.
Assinale a alternativa que corresponde corretamente as quantidades e prazos obtidos a partir das informações enunciadas.