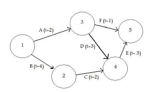
A figura abaixo ilustra uma rede PERT de um projeto, onde t é o tempo previsto. O caminho crítico, nesse caso, é composto pelas atividades

A figura abaixo ilustra uma rede PERT de um projeto, onde t é o tempo previsto. O caminho crítico, nesse caso, é composto pelas atividades
