Magna Concursos
1889411 Ano: 2014
Disciplina: Matemática
Banca: FUNDEP
Orgão: IFN-MG
Provas:

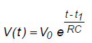
Um marca-passo, como indicado na figura abaixo, consiste em uma bateria, um capacitor e o coração como resistor.

Enunciado 1889411-1

Questão Anulada

Provas

Questão presente nas seguintes provas

Professor - Análise Real

40 Questões