Julgue os itens a seguir, relativos ao tempo de residência e ao
aumento de escala em processos de extrusão de materiais plásticos.

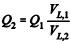
Em extrusoras com geometrias similares, operando com tempos de residência constantes, a relação entre capacidade de processamento e volume livre é expressa por
, em que Q1 e Q2 correspondem, respectivamente, à vazão mássica das extrusoras de menor e maior capacidade, e VL,1 e VL,2 são os volumes livres dos elementos de rosca, respectivamente, das extrusoras de menor e de maior capacidade.

Em extrusoras com geometrias similares, operando com tempos de residência constantes, a relação entre capacidade de processamento e volume livre é expressa por