Magna Concursos
921296 Ano: 2012
Disciplina: Matemática
Banca: FCC
Orgão: TRE-SP
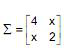
Seja enunciado 921296-1 um vetor de variáveis aleatórias e seja enunciado 921296-2sua matriz de covariâncias. Seja λ a primeira componente principal da matriz ∑ . Sabendo que a proporção da variância total de X que é explicada por λ é enunciado 921296-3 o valor de x é
 

Provas

Questão presente nas seguintes provas

Analista Judiciário - Estatística

60 Questões