Magna Concursos
3441138 Ano: 2024
Disciplina: Matemática
Banca: CONTEMAX
Orgão: Pref. Cubati-PB

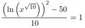
O valor real positivo que assume a raiz da equação logarítmica é

Enunciado 3964231-1

 

Provas

Questão presente nas seguintes provas

Professor da Educação Básica - Matemática

40 Questões