Magna Concursos
2845727 Ano: 2022
Disciplina: Física
Banca: IFPI
Orgão: IFPI
Provas:
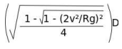
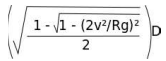
Suponha que um trem esteja se movimentando numa curva de raio de curvatura R a uma velocidade de valor constante v. Se a distância entre os trilhos é D e a intensidade da gravidade é g, a altura que é preciso levantar o trilho externo para minimizar a pressão que o trem exerce sobre ele, ao passar pela curva, é:
 

Provas

Questão presente nas seguintes provas

Professor PEBTT - Física

60 Questões