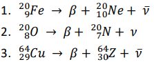
Muitos radionuclídeos decaem por emissão beta para alcançar uma maior estabilidade. Esse processo pode ser por emissão β−, por emissão β+ (pósitron) ou ainda por captura eletrônica (C.E.). Nesse processo de emissão é criado um neutrino \(v\) ou um antineutrino \(\overline{v}\) que não possuem carga nem massa.
São dadas três reações de decaimento por beta.

Quanto a emissão beta, é correto afirmar que nas reações de decaimento
Provas
Questão presente nas seguintes provas