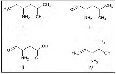
A cromatografia em camada delgada pode ser usada para separar os seguintes compostos:

O tempo de retenção desses compostos com a fase estacionária está relacionado com as forças intermoleculares, ou seja, polaridades semelhantes serão fortemente atraídas. Sabendo que a fase estacionária está saturada de água, o composto retido por mais tempo é o:
Provas
Questão presente nas seguintes provas