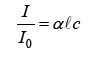
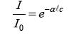
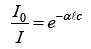
Um equipamento muito empregado em análises de água é o espectrofotômetro (representado em forma simplificada na figura a seguir). Em muitas situações práticas, considera-se válida - para o uso em espectrofotometria - uma lei empírica conhecida como Lei de Lambert-Beer. Sendo
a radiação incidente, I a radiação transmitida, c a concentração do material em estudo,
o caminho percorrido no interior da solução e
a absortividade da substância, assinale a alternativa que apresenta corretamente a expressão da Lei de Lambert-Beer.

a radiação incidente, I a radiação transmitida, c a concentração do material em estudo,
o caminho percorrido no interior da solução e
a absortividade da substância, assinale a alternativa que apresenta corretamente a expressão da Lei de Lambert-Beer.