Magna Concursos
1182561 Ano: 2018
Disciplina: Matemática
Banca: QUADRIX
Orgão: SEDUC-GO
Provas:

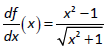
Se a derivada enunciado 1182561-1, então x = –1 e x = 1 são, respectivamente, pontos

 

Provas

Questão presente nas seguintes provas

Professor - Matemática

70 Questões