Magna Concursos
138567 Ano: 2009
Disciplina: Física
Banca: CESPE / CEBRASPE
Orgão: FUB
Provas:
Enunciado 138567-1

A figura acima mostra uma criança em um carrinho que se move
com velocidade constante Enunciado 138567-2 , em um plano horizontal. Durante
o movimento do carrinho, a criança joga uma bola para cima com
velocidade inicial igual a Enunciado 138567-3 No referencial da criança, a origem
do sistema de eixos coordenados está fixa ao carrinho. Para o
observador externo, a origem dos sistemas de eixos coordenados
é identificada por 0 na figura e está fixo ao solo. Desprezando o
atrito com o ar e considerando a aceleração da gravidade igual
a g, julgue os itens de 03 a 08, acerca da situação apresentada.
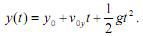
Do ponto de vista da criança, considerando-se um referencial fixo no carrinho, é correto afirmar que a bola descreve um movimento parabólico de subida e descida, cuja posição na vertical em função do tempo é descrita pela equação Enunciado 138567-4
 

Provas

Questão presente nas seguintes provas

Físico

99 Questões