Magna Concursos
1453403 Ano: 2010
Disciplina: Física
Banca: CESGRANRIO
Orgão: Eletronuclear
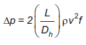
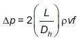
Considere um fluido incompressível de densidade p escoando em um tubo de comprimento L e diâmetro hidráulico Dh . Se o coeficiente de atrito no escoamento é dado por f, e v é a velocidade do fluido no tubo, a expressão para a diferença de pressão experimentada por esse fluido incompressível é
 

Provas

Questão presente nas seguintes provas

Físico - Física de Reatores

60 Questões