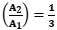
A figura abaixo possui um cone interno ao
prisma hexagonal inscrito no cilindro de raio r. A
razão entre a área da base do cone A2 e a área da
base do cilindro A1 é
. Nessas condições,
calcule a diferença entre o volume de ar contido
no prisma hexagonal (externo ao cone) e o
volume de ar contido no cilindro (externo ao
prisma hexagonal) sabendo que a altura dos
sólidos é 4r. E, assinale a alternativa CORRETA:
