Considere a matriz abaixo.

A matriz acima apresenta elementos no conjunto dos números complexos. Sendo n=| detA |2, então o valor da expressão \( \left[tg^2\pi n\ -\ \cos\ \left(\dfrac{\left(n-6\right)\pi}{250}\right)\ +\ 4\right]^3 \) é:
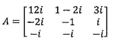
Considere a matriz abaixo.

A matriz acima apresenta elementos no conjunto dos números complexos. Sendo n=| detA |2, então o valor da expressão \( \left[tg^2\pi n\ -\ \cos\ \left(\dfrac{\left(n-6\right)\pi}{250}\right)\ +\ 4\right]^3 \) é: