Magna Concursos
1573026 Ano: 2019
Disciplina: Matemática
Banca: UNIFEI
Orgão: UNIFEI
Provas:

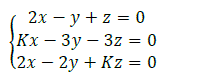
A soma dos valores K para os quais o sistema

enunciado 1573026-1

admita infinitas soluções é:

 

Provas

Questão presente nas seguintes provas

Professor Adjunto

50 Questões