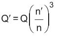
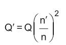
Considere o enunciado a seguir para responder às questões de nos 24 e 25.
O ventilador de um laboratório gira com n rotações por minuto, sob uma pressão estática H, proporcionando uma vazão Q e absorvendo uma potência motriz N.
Para verificar seu comportamento com n’ rotações por minuto, fez-se um teste com esse ventilador, operando com o mesmo fluido.
Com base nas leis de semelhança, a nova vazão Q’ obedece à seguinte relação:O ventilador de um laboratório gira com n rotações por minuto, sob uma pressão estática H, proporcionando uma vazão Q e absorvendo uma potência motriz N.
Para verificar seu comportamento com n’ rotações por minuto, fez-se um teste com esse ventilador, operando com o mesmo fluido.