Magna Concursos

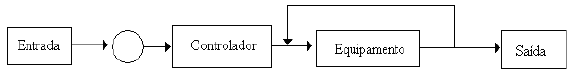
Antes de se começar um projeto de automação, ou qualquer outro, há a necessidade de se esquematizar o processo. Qual dos diagramas esquemáticos elaborados a seguir representa o controle realimentado de um equipamento?

 

Provas

Questão presente nas seguintes provas