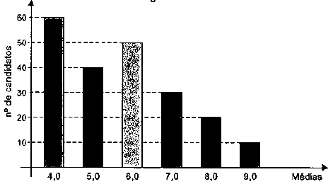
Analise o gráfico Figura seguinte que representa as médias dos candidatos que prestaram um concurso público.

Sabendo que a média para aprovação neste concurso foi maior ou igual a 7,0, qual foi a porcentagem dos candidatos aprovados?
Provas
Questão presente nas seguintes provas
Agente Técnico Legislativo
50 Questões
Assistente Legislativo - Administrativo
50 Questões