Magna Concursos
920151 Ano: 2012
Disciplina: Química
Banca: ENEM
Orgão: ENEM
Provas:
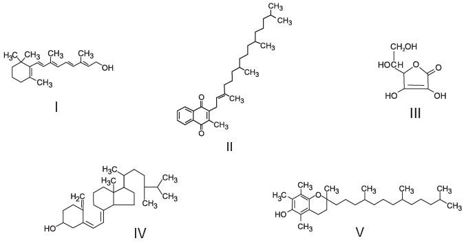
O armazenamento de certas vitaminas no organismo apresenta grande dependência de sua solubilidade. Por exemplo, vitaminas hidrossolúveis devem ser incluídas na dieta diária, enquanto vitaminas lipossolúveis são armazenadas em quantidades suficientes para evitar doenças causadas pela sua carência. A seguir são apresentadas as estruturas químicas de cinco vitaminas necessárias ao organismo.
enunciado 920151-1
Dentre as vitaminas apresentadas na figura, aquela que necessita de maior suplementação diária é
 

Provas

Questão presente nas seguintes provas