Magna Concursos
2730184 Ano: 2023
Disciplina: TI - Desenvolvimento de Sistemas
Banca: UFPR
Orgão: IF-PR
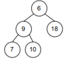
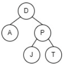
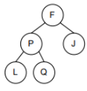
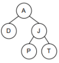
Uma árvore consiste em uma estrutura de dados que contém nós e arcos e pode ser utilizada para organizar objetos de forma hierárquica. Uma árvore binária de busca utiliza a estrutura de árvore e possui propriedades específicas. Assinale a alternativa que apresenta uma árvore binária de busca.
 

Provas

Questão presente nas seguintes provas

Professor PEBTT - Informática

35 Questões