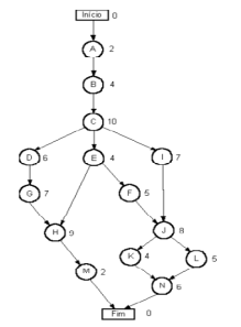
O Program Evaluation and Review Technique (PERT) e o Critical Path Method (CPM) são utilizados para o gerenciamento da construção civil.

Com base na rede apresentada, na qual as atividades da obra estão representadas por letras, e considerando a duração dessas atividades em semanas, infere-se que