Magna Concursos
1840905 Ano: 2014
Disciplina: Engenharia Química
Banca: CESPE / CEBRASPE
Orgão: INPI

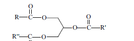
Em um pedido de registro de patente referente a um catalisador ácido heterogêneo para a reação de transesterificação de óleos e gorduras vegetais visando à produção de biodísel, os autores informam que o catalisador proposto aumenta em 24.000 vezes a constante de velocidade da reação. No pedido, os autores representam as moléculas de triglicerídeos, principais componentes de óleos e gorduras vegetais, ilustradas na figura abaixo, em que R, R' e R" correspondem a longas cadeias hidrocarbônicas que podem conter ou não duplas ligações. Um exemplo típico de molécula de triglicerídeo consiste no 1-estearoil-2-oleil-3-linoleilglicerol, em que R, R' e R" correspondem a cadeias com 17 átomos de carbono que contêm, respectivamente, nenhuma insaturação, uma ligação dupla e duas ligações duplas.

Enunciado 1840905-1

A partir da situação hipotética apresentada, julgue os itens de 116 a 120, considerando que o emprego do catalisador não modifica o fator pré-exponencial da equação de Arrhenius, que a constante universal dos gases seja igual a 8 J.mol-1.K-1 e que 10 seja o valor para ln 24.000.

A fórmula molecular do 1-estearoil-2-oleil-3-linoleilglicerol é C57H104O6.
 

Provas

Questão presente nas seguintes provas

Pesquisador do INPI - Engenharia Química

120 Questões