Magna Concursos
Questões
Planos
Entrar
Entrar
Criar Conta
Respondida
650607
Ano:
2014
Disciplina:
Engenharia Mecânica
Banca:
CESGRANRIO
Orgão:
Petrobrás
Provas:
Engenheiro de Equipamentos - Mecânica
Provas
×
Termodinâmica
Transferência de Calor (Condução, Convecção e Radiação)
Vapor entra na turbina representada na Figura acima. Essa turbina opera em regime permanente com um fluxo de massa de 2 kg/s.
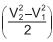
Sabendo-se que (h
1
- h
2
) = 900 kJ/kg, e que
= 1,5 kJ/kg, qual a taxa de transferência de calor entre a turbina e a vizinhança, em kW?
A
-30
B
-670
C
-797
D
-1800
E
-2102
Resolver
Comentários
0
×
Cadernos
×
Flashcards
×
Estatísticas
×
Reportar um erro
×
Provas
Questão presente nas seguintes provas
Engenheiro de Equipamentos - Mecânica
70 Questões
Resolver Prova
Publicar
Responder
Qual o problema da questão?
Selecione uma opção
Questão Desatualizada
Questão Repetida
Gabarito Errado
Outros Motivos
Mensagem
Enviar
Acessar
Criar Conta
Acesse sua Conta
Google
Facebook
Esqueci minha senha
Acessar
Ainda não tem conta?
Crie uma
!
Crie uma Conta
Criar Conta
Olá, para continuar, precisamos criar uma conta!
É
rápido
e
grátis
.
Google
Facebook
Concordo com os
Termos de Uso
Criar
Já tem uma conta?
Acesse aqui