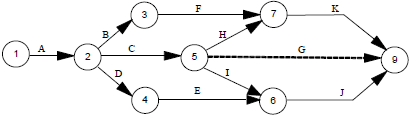
Considere que o desenvolvimento de uma determinada etapa da construção de uma obra tenha a sua rede CPM esquematizada na figura abaixo. Julgue os itens abaixo, relativos a essa rede.

I. O percurso crítico na rede é aquele que requer mais tempo para ser completado.
II. Na rede CPM, os círculos representam as atividades desenvolvidas.
III. Na rede CPM, as setas indicam os eventos realizados.
IV. A atividade G não consome tempo nem recursos, sendo chamada de fictícia ou fantasma.
V. Os círculos representam os eventos e as letras, as atividades.
É correto o que se afirma em:
Provas
Questão presente nas seguintes provas