
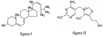
As fórmulas estruturais representadas nas figuras I e II correspondem às vitaminas calciferol e tiamina, respectivamente. Considerando essas informações, julgue o item seguinte.
A vitamina representada na figura I é solúvel em água e, após a absorção, é armazenada no fígado