
Com base nas informações acima, julgue os itens a seguir.
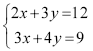
A solução do sistema de equações lineares
fornece, de fato, uma possível quantidade a ser produzida de P1 e P2.
Provas
Questão presente nas seguintes provas
Advogado
120 Questões
Analista - Biblioteconomia
120 Questões
Analista - Engenharia de Segurança do Trabalho
120 Questões
Analista - Gestão Empresarial
120 Questões
Analista - Gestão Financeiro
120 Questões
Analista - Gráfica
120 Questões
Analista - Perícia em Cálculo Judicial
120 Questões
Analista - Programação Visual
120 Questões
Analista de Comunicação
120 Questões
Analista de Gestão de Pessoas
120 Questões
Analista de TI
120 Questões
Analista de TI - Administração de Serviços
120 Questões
Analista de TI - Desenvolvimento
120 Questões
Médico do Trabalho
120 Questões