Magna Concursos
2798710 Ano: 2023
Disciplina: Física
Banca: IBFC
Orgão: SEED-PR
Provas:

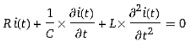
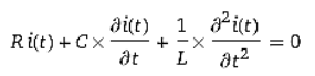
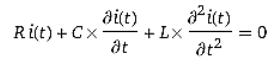
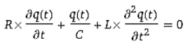
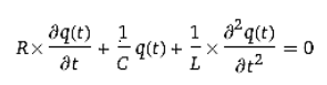
No circuito representado abaixo R, L e C são respectivamente a resistência, indutância e capacitância dos dispositivos do circuito, ligados em série. Considere que o capacitor está inicialmente carregado e com a chave aberta (que será fechada em t=0).

Enunciado 2798710-1

Assinale a alternativa que indica a equação diferencial do circuito a partir do momento que a chave é fechada, onde q(t) e i(t) representam respectivamente a carga e a corrente do circuito.

 

Provas

Questão presente nas seguintes provas

Professor - Física

30 Questões