Antes de proporcionar o desempenho desejado a determinado
sistema dinâmico controlado, o controlador deve garantir que o
referido sistema seja estável em malha fechada.
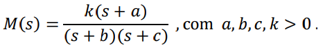
Considere que determinado sistema de controle é representado pela sua função de transferência de malha aberta M(s), dada por

Com relação a estabilidade deste sistema, analise as afirmativas a seguir.
I. É independente do valor do parâmetro k.
II. É independente do valor do parâmetro a.
III. É independente dos valores dos parâmetros b e c.
Está correto o que se afirma em
Considere que determinado sistema de controle é representado pela sua função de transferência de malha aberta M(s), dada por

Com relação a estabilidade deste sistema, analise as afirmativas a seguir.
I. É independente do valor do parâmetro k.
II. É independente do valor do parâmetro a.
III. É independente dos valores dos parâmetros b e c.
Está correto o que se afirma em
Provas
Questão presente nas seguintes provas
Tecnologista Jr - AOCS
45 Questões
Tecnologista Jr - Desenvolvimento de Sistemas
45 Questões
Tecnologista Jr - Satélites/Elétrica
45 Questões
Tecnologista Jr - Satélites/Missões Espaciais
45 Questões