Magna Concursos
2798700 Ano: 2023
Disciplina: Física
Banca: IBFC
Orgão: SEED-PR
Provas:

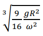
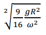
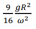
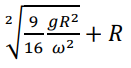
Você está sob a superfície da Terra, na linha do equador, quando vê exatamente acima de sua cabeça um satélite que se move de oeste para leste - o mesmo sentido de rotação da terra. O mesmo satélite está sob sua cabeça após 8h. Se w, g e R são, respectivamente, a velocidade angular de rotação, a aceleração da gravidade na superfície e o raio da Terra, assinale a alternativa que apresenta qual a distância do satélite ao ponto em que você se encontra, no momento em que ele está sob sua cabeça.

 

Provas

Questão presente nas seguintes provas

Professor - Física

30 Questões