Considere o gradiente de temperatura em uma placa plana quadrada. O sistema evolui no tempo. A distribuição inicial é apresentada na figura a seguir e o gradiente de temperatura é proporcional ao gradiente de intensidade de cor.

A respeito deste processo, pode-se afirmar que:
I. A transferência de calor ao longo da placa se dá por condução.
II. A lei de transferência de calor que caracteriza o processo é chamada de lei de resfriamento de Newton.
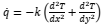
III. Para este processo, a lei de transferência de calor pode
ser matematicamente escrita como
, k
sendo o coeficiente de condução de calor, T a
temperatura em algum ponto e
a taxa de fluxo de calor.
Avaliando o sistema, é correto o que se afirma em: