Magna Concursos
85811 Ano: 2008
Disciplina: Engenharia Eletrônica
Banca: CESGRANRIO
Orgão: Petrobrás

Enunciado 85811-1

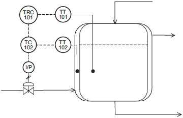
O diagrama do processo industrial apresentado na figura acima representa o controle

 

Provas

Questão presente nas seguintes provas