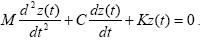
O sistema massa-mola-amortecedor representado na figura abaixo, é governado pela equação ![]()

Considerando que no instante inicial a massa está parada a uma distância z0 da posição de repouso da mola, a transformada de Laplace do sistema é:
O sistema massa-mola-amortecedor representado na figura abaixo, é governado pela equação ![]()

Considerando que no instante inicial a massa está parada a uma distância z0 da posição de repouso da mola, a transformada de Laplace do sistema é: