Magna Concursos
1843707 Ano: 2019
Disciplina: Matemática
Banca: FURB
Orgão: Pref. Timbó-SC
Provas:

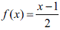
Considere as funções Enunciado 1843707-1 e Enunciado 1843707-2. Sendo ƒ−1(x) e g−1(x)suas funções inversas, pode-se afirmar que ƒ−1(2) − g−1(2) é igual a:

 

Provas

Questão presente nas seguintes provas

Professor - Matemática

40 Questões