Magna Concursos
845802 Ano: 2009
Disciplina: Matemática Financeira
Banca: FUNIVERSA
Orgão: SEPLAG-DF
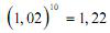
Após manter, durante 10 meses, seu capital de R$ 50.000,00 aplicado a uma taxa de 2% ao mês, um investidor resolve movimentar o montante acumulado nesse período para outro fundo, cuja rentabilidade é de 2,3% ao mês. Considerando que toda a operação ocorreu dentro do regime de juros compostos e que enunciado 845802-1 e enunciado 845802-2 , o saldo desse investidor, após 8 meses da segunda aplicação, será de
 

Provas

Questão presente nas seguintes provas

Analista de Planejamento e Orçamento

80 Questões