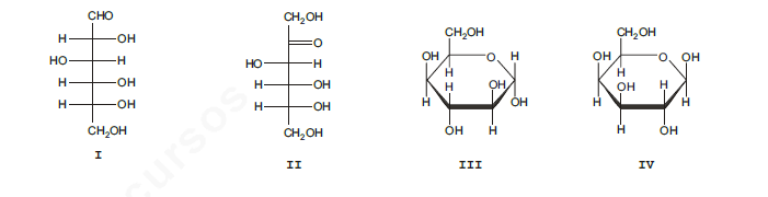
A seguir estão representadas algumas estruturas de carboidratos:
As estruturas que são isômeras entre si estão representadas em
I e II, apenas.
III e IV, apenas.
I, II e III, apenas.
II, III e IV, apenas.
I, II, III e IV.
Olá, para continuar, precisamos criar uma conta! É rápido e grátis.