Magna Concursos
3730298 Ano: 2025
Disciplina: Matemática
Banca: FUNCERN
Orgão: IF-RN

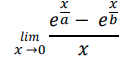
Sejam \( a \) e \( b \) números reais não nulos. O resultado do limite que segue é igual a

Enunciado 4495183-1

 

Provas

Questão presente nas seguintes provas

Professor PEBTT - Matemática

30 Questões