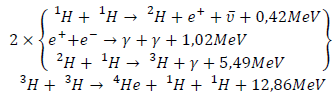
A reação de fusão nuclear que ocorre no Sol é um processo
de várias etapas, em que o núcleo do hidrogênio se
transforma em um núcleo de hélio. Ela pode ser dividida da
seguinte maneira:

Considerando esse processo e sabendo que 1 g de hidrogênio tem 1 mol de átomos, e que NA = 6,022 x 1023 átomos/mol e eV = 1,6 x 10-19 j, assinale a alternativa que indica a energia aproximada, em terajoules, liberada por 4 gramas de hidrogênio.

Considerando esse processo e sabendo que 1 g de hidrogênio tem 1 mol de átomos, e que NA = 6,022 x 1023 átomos/mol e eV = 1,6 x 10-19 j, assinale a alternativa que indica a energia aproximada, em terajoules, liberada por 4 gramas de hidrogênio.