Magna Concursos
712787 Ano: 2006
Disciplina: Engenharia Mecânica
Banca: CESPE / CEBRASPE
Orgão: DETRAN-PA
Provas:
enunciado 712787-1

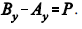
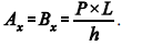
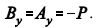
A viga rígida apresentada na figura acima está submetida a uma força P, aplicada na sua extremidade do lado direito. A viga é suportada na extremidade do lado esquerdo por dois pinos, A e B, conforme ilustrado. Desprezando-se o peso próprio da viga e o atrito nos pinos, é correto afirmar, em relação às reações nos pinos A e B, respectivamente, Ax e Bx, na direção x, e às reações nos pinos A e B, respectivamente, Ay e By, na direção y, que
 

Provas

Questão presente nas seguintes provas

Engenheiro Mecânico

40 Questões