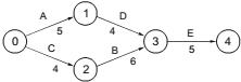
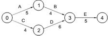
Numa obra de construção civil, eventos e atividades estão apresentados na tabela a seguir.
Eventos
Dias necessários
Atividades Inicial Final para execução
A – Tecer alvenaria da fachada 0 1 5
B – Fazer abertura de Vãos 1 3 4
C – Preparar Caixilharia 0 2 4
D – Colocar Caxilhos 2 3 6
E – Assentar Portas e Janelas 3 4 5
A representação gráfica correta pelos métodos PERT/CPM é:
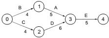
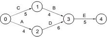
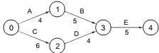
Eventos
Dias necessários
Atividades Inicial Final para execução
A – Tecer alvenaria da fachada 0 1 5
B – Fazer abertura de Vãos 1 3 4
C – Preparar Caixilharia 0 2 4
D – Colocar Caxilhos 2 3 6
E – Assentar Portas e Janelas 3 4 5
A representação gráfica correta pelos métodos PERT/CPM é:
Provas
Questão presente nas seguintes provas