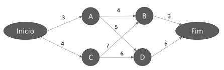
A figura a seguir ilustra uma rede PERT/COM, onde os números em cada arco indicam a duração, em semanas, de cada processo que faz com que o sistema transite entre os estados inicial e final, passando pelos estados A, B, C e D.

O caminho crítico dessa rede é:

O caminho crítico dessa rede é: