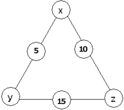
A figura abaixo é formada por um dispositivo de forma triangular em que, nos vértices e nos pontos médios dos lados, estão representados alguns valores, nem todos conhecidos. Sabe-se que a soma dos valores correspondentes a cada lado do triângulo é sempre 24.

Assim, o valor numérico da expressão x-y·z é
Provas
Questão presente nas seguintes provas